Skoči do osrednje vsebine
GOV.SI

Rezultat vzorčenj na območju petih koroških občin, izvedenih v letu 2025

Izvedli smo vzorčenje tal, makadama, mivke, peska in proda na otroških igriščih, v stanovanjskih območjih ter na kmetijskih površinah. Vsebnost anorganskih onesnaževal izkazuje na 74 vzorčnih mestih večkratna preseganja kritičnih in opozorilnih imisijskih vrednosti. Le na 12 vzorčnih mestih analizirani vzorci niso izkazovali onesnaženosti.

Agencija za okolje je objavila rezultate vzorčenj, ki jih je izvedla v letu 2025, v okviru »Odloka o določitvi degradiranega okolja in programa ukrepov za izboljšanje kakovosti okolja na območju vrtcev, šol in javnih igrišč v občinah Črna na Koroškem, Mežica, Prevalje, Ravne na Koroškem in Dravograd«. Degradirano okolje na Koroškem je posledica dolgotrajne zgodovine rudniške in industrijske dejavnosti ter naravnih vplivov, vključno s poplavami avgusta 2023, ki so povzročile širjenje onesnaževal v tleh. Glede na ugotovitve preteklih monitoringov in zdravstvenih analiz so nekatera območja oziroma javne površine, kjer se zadržujejo otroci, kot so vrtci, šole in otroška igrišča, identificirana kot potencialno ogrožajoča, saj so povišane vsebnosti težkih kovin (Pb, Cd in Zn) lahko povezane s tveganjem za zdravje.

Raziskovalni monitoring je zajemal 74 vzorčnih mest (Slika 1). Osredotočili smo se na pregled stopnje onesnaženosti tal na lokacijah otroških igrišč, kjer stanje onesnaženosti doslej ni bilo znano ter preverjanja razmer v okolju, kjer so bile pri otrocih ugotovljene povišane vsebnosti svinca v krvi. Glede na namensko rabo smo vzorčenje opravili na otroških igriščih (53 vzorčnih mest), makadamskih poteh (11 vzorčnih mest), peščeno-prodnatih površinah (5 vzorčnih mest) ter stanovanjskih zelenicah in vrtovih (5 vzorčnih mest). Predmet naloge je bil odvzem vzorcev, ki mu je sledila kemijska analiza in interpretacija rezultatov.

74 mest na zemljevidu, kjer so odvzeli vzorce.

Slika 1. Vzorčna mesta | Avtor: Agencija za okolje

Vrednotenje rezultatov analiz anorganskih onesnaževal je bilo izdelano na podlagi določenih zakonodajnih mejnih vrednosti onesnaževal iz Priloge 1 »Uredbe o mejnih, opozorilnih in kritičnih imisijskih vrednostih nevarnih snovi v tleh«.

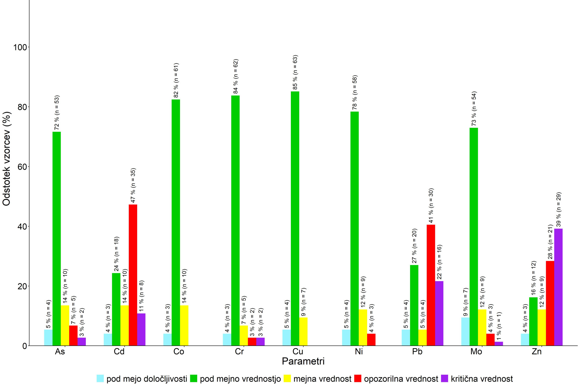
Od skupno 74 vzorčnih mestih je bilo 29 vzorčnih mest (39 odstotkov), kjer je bila vsaj za en parameter presežena kritična vrednost. Na 22 vzorčnih mestih (30 odstotkov) je bila vsaj za en parameter izmerjena vrednost med opozorilno in kritično vrednostjo, na 11 vzorčnih mestih (15 odstotkov) pa je bila vsaj za en parameter izmerjena vrednost med mejno in opozorilno vrednostjo (Slika 2). Rezultati analiz so pokazali, da so obravnavani vzorci najbolj obremenjeni s cinkom, svincem, kadmijem, arzenom, kromom, molibdenom in nikljem (Slika 3). 

Do katere mere so bila tla onesnažena

Slika 2. Status vzorčnih mest | Avtor: Agencija za okolje

1 / 2

V Odloku Koroška so ukrepi usmerjeni predvsem v degradirana območja, kjer se zadržujejo otroci in obsegajo območja vrtcev, šol in javnih igrišč v petih koroških občinah. V primeru igrišč vrtcev in šol z otroki s posebnimi potrebami je predvidena celovita sanacija, ki vključuje zamenjavo zemljine, če vsaj eno obravnavano onesnaževalo presega opozorilno vrednost. V primeru ostalih igrišč pa se celovita sanacija izvede, če vsaj eno onesnaževalo presega kritično vrednost. V primeru presežene opozorilne vrednosti se na teh igriščih izvedejo omilitveni ukrepi, ki obsegajo predvsem namestitev ustreznih materialov (ustrezen pesek, tartan) na najbolj obremenjenih delih igrišč (gole površine zaradi igre otrok) in ustrezno vzdrževanje travne ruše.

Glede na rezultate vzorčenj je v petih koroških občinah celovita sanacija potrebna na 15 otroških igriščih ter omilitveni ukrepi na 13 otroških igriščih:

  • Občina Črna na Koroškem: celovita sanacija (2);
  • Občina Mežica: celovita sanacija (2), omilitveni ukrepi (2);
  • Občina Prevalje: celovita sanacija (4), omilitveni ukrepi (3);
  • Občina Ravne na Koroškem: celovita sanacija (2), omilitveni ukrepi (4);
  • Občina Dravograd: celovita sanacija (5), omilitveni ukrepi (4).

Pri nekaterih igriščih, kjer so bile ugotovljene presežene opozorilne vrednosti, dodatne sanacije niso potrebne, saj izvedba ureditve igrišča že ustreza predlaganim omilitvenim ukrepom.

 V povezavi z vzorčenjem tal, ki je bilo izvedeno v letu 2025 (RMEŽ25), je potrebno zopet izpostaviti neustrezno uporabo onesnaženega materiala za izvajanje infrastrukturnih objektov (predvsem cestne infrastrukture). V letu 2025 je še posebej izstopala lokacija Koroški Selovec 20, ki je bila sicer vzorčena v okviru preverjanja domačega okolja, kjer živi otrok s povišano vsebnostjo svinca v krvi. Izkazalo se je, da je makadam, s katerim je bilo izvedeno nasutje makadamske ceste, izkazoval ekstremno visoke koncentracije posameznih težkih kovin (cink, kadmij, krom, svinec in molibden).

Poleg tega je potrebno opozoriti tudi na igrišča, kjer je ob poplavah avgusta 2023 prišlo do nanosa onesnaženih sedimentov. Rezultati vzorčenja nakazujejo, da je bila njihova sanacija neustrezno izvedena (npr. Stadion Pristava v občini Črna na Koroškem, igrišče ob Trgovskem centru Peca v občini Mežica in Naselje Meža v občini Dravograd).

Rezultati kemijskih analiz odvzetih vzorcev v okviru Raziskovalnega monitoringa stanja tal na Koroškem v letu 2025 so prikazani na slikah 4, 5, 6 in 7.

Rezultate predhodnih raziskav kakovosti tal v Zgornje Mežiški dolini za obdobje 2008-2022 si lahko ogledate v Poročilu raziskovalnega monitoring kakovosti tal v Zgornji Mežiški dolini.